January 2025 Top 40 New CRAN Packages

An attempt to capture the depth and breadth of what’s new on CRAN.
Top 40
Author

Joseph Rickert

Published

February 28, 2025

In January, one hundred eighty-six new packages made it to CRAN. Here are my Top 40 picks in sixteen categories: Archaeology, Artificial Intelligence, Computational Methods, Ecology, Epidemiology, Finance, Genomics, Health Technology Assessment, Machine Learning, Medicine, Music, Pharma, Statistics, Time Series, Utilities, and Visualization.

Archaeology

archeofrag.gui v0.1.0: Implements a shiny application to access the functions and datasets of the archeofrag package that brings spatial analysis to archaeology. Features include: a focus on connection relationships (i.e., physical refits), built-in workflows, plot generation, R code generation to re-execute the simulations in R and ensure reproducibility, and support for parallel computing. Look here for a demonstration version of the app, and look here for basic information.

Fragmentation graph from a simulation

Artificial Intelligence

ellmer v0.1.1: Integrates large language model chat from a range of providers including Claude, OpenAI, and more. Supports streaming, asynchronous calls, tool calling, and structured data extraction. There are five vignettes including Getting Started and Prompt design.

tidyprompt v0.0.1: Provides functions to construct prompts and associated logic for interacting with large language models (LLMs), and introduces the concept of prompt wraps, building blocks to turn a simple prompt into a complex one. In addition to modifying prompt text, prompt wraps also add extraction and validation functions that will be applied to the response of the LLM. There are three vignettes, including Getting started and Creating prompt wraps.

Show the code
# From prompt to ggplot
plot <- paste0(
  "Create a scatter plot of miles per gallon (mpg) versus",
  " horsepower (hp) for the cars in the mtcars dataset.",
  " Use different colors to represent the number of cylinders (cyl).",
  " Make the plot nice and readable,",
  " but also be creative, a little crazy, and have humour!"
) |>
  answer_using_r(
    pkgs_to_use = c("ggplot2"),
    evaluate_code = TRUE,
    return_mode = "object"
  ) |>
  send_prompt(openai)
plot

Example of respones to prompt

Computational Methods

QAEnsemble v1.0.0: Implements the Ensemble Quadratic and Affine Invariant Markov chain Monte Carlo algorithms, which provides an efficient way to perform Bayesian inference in difficult parameter space geometries. See Militzer (2023) and Goodman and Weare (2010), respectively, for background on these algorithms. There are three vignettes, including Fitting a disease Makov model and Fitting a Weibull distribution.

Plot showing accuracy of posteriorpredictive mean

zigg v0.0.2: Provides a lightweight interface to the Ziggurat pseudo-random number generator introduced by Marsaglia and Tsang (2000) and further improved by Leong et al. (2005), which can be used from R as well as from ‘C/C++’ code. It is very fast for the normal, exponential, and uniform distributions. See README to get started.

Plot of timing comparisons

Ecology

BerkeleyForestsAnalytics v2.0.4: Offers a suite of functions designed to produce standard metrics for forest management and ecology from forest inventory data. It is designed to minimize potential inconsistencies introduced by the algorithms that compute metrics. Look here to learn more about the purpose of the package and see the vignette for an example.

ritalic v0.10.1: A programmatic interface to the Web Service methods provided by the ITALIC database of lichen data in Italy and bordering European countries, including functions for retrieving information about lichen scientific names, geographic distribution, ecological data, morpho-functional traits, and identification. Look here for more information about the data and see README to get started.

Epidemiology

ggsurveillance v0.1.2: Provides functions to create epicurves and epigantt charts and prepare data for visualization or other reporting for infectious disease surveillance and outbreak investigation, including functions to functions to solve date-based transformations such as seasonal date alignment for respiratory disease surveillance and date-based case binning based on specified time intervals. There are three vignettes: Epicurves, Epigantt, and Seasonal Plots.

Example of Epi Gantt chart

superspreading v0.3.0: Provides tools to study individual-level variation in infectious disease transmission, including a discrete compound Poisson distribution (Kremer et al. (2021)) and functions to calculate infectious disease outbreak statistics given epidemiological parameters on individual-level transmission such as the probability of an outbreak becoming an epidemic (Kucharski et al.’ (2020)). There are six vignettes, including Getting started and Epidemic Risk.

Chart showing expected transmission proportions

AMISforInfectiousDiseases v0.1.0: Implements the Adaptive Multiple Importance Sampling (AMIS) algorithm, as described by Retkute et al. (2021), to estimate key epidemiological parameters by combining outputs from a geostatistical model of infectious diseases with a disease transmission model. See the vignettes Fittina Ascariasis data and Simulation study.

Distribution plots of posterior median

Finance

pacta.multi.loanbook v0.1.0: Provides tools to run Paris Agreement Capital Transition Assessment (PACTA) analyses on multiple loan books in a structured way and access to PACTA metrics. There are ten vignettes, including an Overview and Interpretation of Results.

Volume trajectory plot

qmj v0.2.1: Provides functions to produce quality scores for each of the US companies from the Russell 3000 following the approach described in Asness, Frazzini, & Pedersen (2013). It includes functions to automatically gather relevant financials and stock price information. See the vignette.

Genomics

AntibodyForests v1.0.0: Provides tools to investigate and quantify inter- and intra-antibody repertoire evolution and explore a wealth of immune repertoire sequencing data. See the vignette.

Lineage Plot

geneviewer v0.1.10: Provides tools for plotting gene clusters and transcripts by importing data from GenBank, FASTA, and GFF files. It performs BLASTP and MUMmer alignments. See Altschul et al. (1990) and Delcher et al. (1999) for background and look here to get started.

erythromycin BlastP

smer v0.0.1: Implements Sparse Marginal Epistasis Test is a computationally efficient genetics method that detects statistical epistasis in complex traits. See Stamp et al. (2025) for details. There are six vignettes, including How To Use the Sparse Marginal Epistasis Test and Conditioning Epistasis Search on Open Chromatin,

Plot of Erythroid Differentiation DHS Mask

Health Technology Assessment

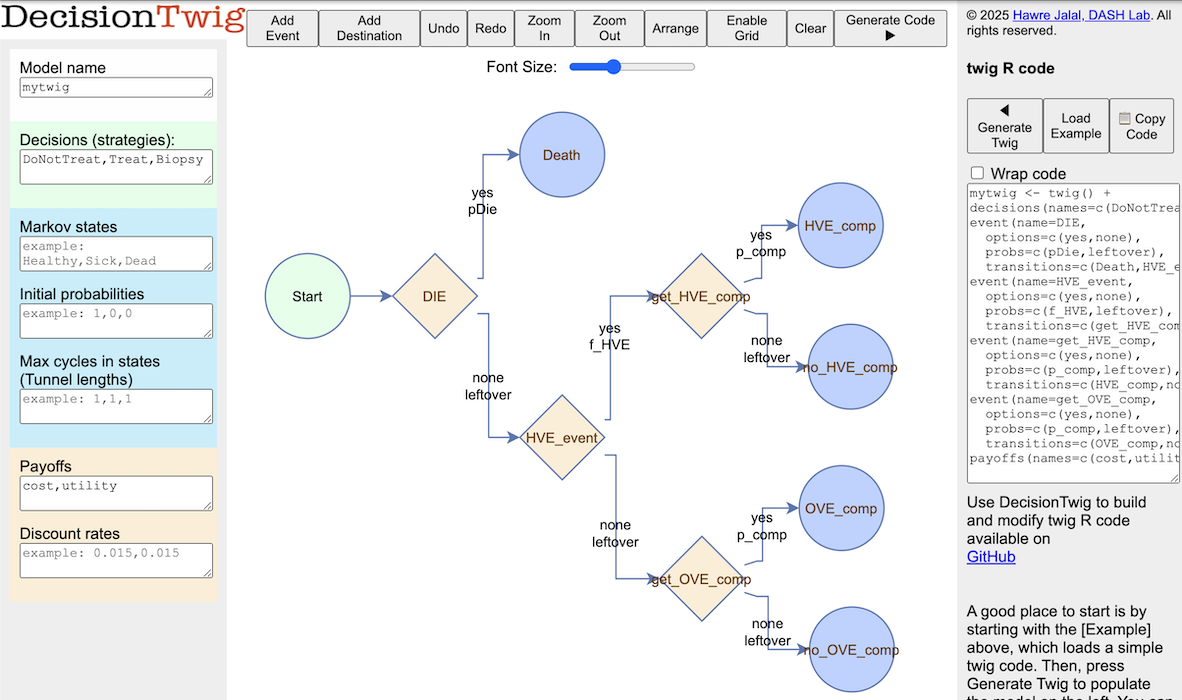
twig v1.0.0.0: Provides tools for building concise decision and cost-effectiveness analysis models, simulate outcomes—including probabilistic analyses—efficiently using optimized vectorized processes and parallel computing. The package employs a Grammar of Modeling approach to streamline model construction. For an interactive graphical user interface, see DecisionTwig. There are two vignettes: Decision Tree Herpes Virus Encephalopathy) and Tutorial for Time Dependent Markov Model.

Plot of decision tree

Machine Learning

bnns v0.1.2: Implements a formula-based interface for building and training Bayesian Neural Networks powered by Stan. Features include user-chosen priors, predictions, and support for regression, binary, and multi-class classification. See Neal(1996) for background and README to get started.

ComBatFamQC v1.0.4: Provides a comprehensive framework for batch effect diagnostics, harmonization, and post-harmonization downstream analysis. Features include interactive visualization tools, robust statistical tests, and a range of harmonization techniques. Methods for harmonization are based on approaches described in Johnson et al., (2007) Beer et al., (2020), Pomponio et al., (2020), and Chen et al., (2021). See README to get started.

Medicine

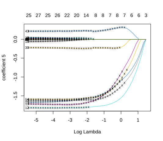
priorityelasticnet v0.2.0: Implements the Priority-ElasticNet extends the Priority-LASSO method pg Klau et al. (2018) to fit successive ElasticNet models for several blocks of (omics) data with different priorities, using the predicted values from each block as an offset for the subsequent block. See the vignette for examples.

Lasso coefficient plot

RLescalation v1.0.2: Implements an optimal dose escalation rule phase I oncology trials using deep reinforcement learning. The dose escalation rule can directly optimize the percentages of correct selection of the maximum tolerated dose. See Matsuura et al. (2023) for background and the vignette for an example.

shinybody v0.1.3: Provides an htmlwidget of the human body that allows displaying 79 different body parts. It works in Quarto documents, R Markdown documents, or any other HTML medium and also functions as an input/output widget in a shiny app. Look here to get started.

Schematic of bodd with selected organs highlighted

SparseICA v0.1.4: Provides an implementation of the Sparse ICA method in Wang et al. (2024) for estimating sparse independent source components of cortical surface functional MRI data by addressing a non-smooth, non-convex optimization problem through the relax-and-split framework. Look here for examples.

Heat maps of simulated data

Music

sequenceR v1.0.1: Implements a rudimentary sequencer to define, manipulate, and mix sound samples. The underlying motivation is to sonify data. Look here for a demonstration. See Renard & Le Bescond (2022) and the poster by Renard et al. (2023) for background and the vignette to get started.

BBC ding-dong plot

Pharma

admiralmetabolic v0.1.0: An extension of admiral that provides a toolbox for programming Clinical Data Standards Interchange Consortium (CDISC) compliant Analysis Data Model (ADaM) datasets. There are three vignettes, including Get Started and Creating a Metabolic ADVS ADaM.

invivoPKfit v2.0.0: Provide functions that take in vivo toxicokinetic concentration-time data and fits parameters of 1-compartment and 2-compartment models for each chemical. There are four vignettes including User Guide and Informatics for toxicokinetics.

Statistics

flexFitR v1.1.0: Provides tools for flexible non-linear least squares model fitting using general-purpose optimization techniques. It supports a variety of optimization algorithms, including those provided by the optimx package, and also supports parallel processing via the future and foreach packages. See Nash and Varadhan (2011) for the details of the method supported. There are five vignettes, including How to start and Modeling.

Canopy Plot

gsaot v0.1.0: Provides functions to compute global sensitivity indices from given data using Optimal Transport, as defined in Borgonovo et al. (2024). You provide an input sample and an output sample, decide the algorithm, and compute the indices. See the vignette.

Scatter plot of output distribution

MADMMplasso v1.0.0: Implements a method to model a multi-variate, multi-response problem with interaction effects by combining the usual squared error loss with penalty terms to encourage responses that correlate to form groups. The implementation is based on Asenso & Zucknick (2023) and uses the Alternating Direction Method of Multipliers (ADMM) algorithm for optimization. See README for an example.

MADMMplasso plot

MonotonicityTest v1.0: Implements nonparametric bootstrap tests for detecting monotonicity in regression functions from Hall & Heckman (2000). Includes tools for visualizing results using Nadaraya-Watson kernel regression and supports efficient computation with ‘C++’. Look here for examples.

kernel plot

Time Series

fftab v0.1.0: Provides functions for the Tidy manipulation of Fourier coefficients in various ways, including converting between complex, rectangular (re, im), and polar (mod, arg) representations, as well as for extracting components as vectors or matrices. See README for an example.

Time series plots

hdftsa v1.0: Offers methods for visualizing, modelling, and forecasting high-dimensional functional time series, also known as functional panel data. See Jimenez-Varon, Sun & Shang (2024) for documentation.

VARcpDetectOnline v0.2.0: Implements the Sequential Change Point Detection in High-dimensional Vector Auto-regressive Models introduced in Tian & Safikhani (2024) and include tools for detecting change points in the transition matrices of VAR models, effectively identifying shifts in temporal and cross-correlations within high-dimensional time series data.

Utilities

forgts v0.0.1: Provides functions to convert formatted spreadsheets to presentation-ready display gt tables. It supports the most commonly-used cell and text styles, including colors, fills, font weights and decorations, and borders. See the vignette.

Sample of table to be read Spreadsheet table input

output table gt table output.

psHarmonize v0.3.5: Provides functions to facilitate the harmonization of data from multiple different datasets, including taking data sources with differing values and creating coding instructions to create a harmonized set of values. Users create a harmonization sheet that guides the process. See Fortier et al. (2017) for harmonization guidelines and Stephen et al. (2024) for details about the package. There is an Introduction and a vignette on Harmonization sheet instructions.

rmonocypher v0.1.8: Provides tools to encrypt R objects to a raw vector or file using modern cryptographic techniques. Password-based key derivation is with Argon2. Objects are serialized and then encrypted using XChaCha20-Poly1305 which follows RFC 8439 for authenticated encryption. Cryptographic functions are provided by the included monocypher C library. There are three vignettes including Encrypting with Additional Data and Encryption Keys.

shinyscholar v0.2.5: Implements a template for creating reproducible shiny applications. Features include modular code with automatic linking, flexible logging, and options that enable asynchronous operations, viewing of source code, interactive maps and data tables. See README to get started.

Visualization

adplots v0.1.0: Provides two new plots for visualizing distributional properties and normality. The adplot()can identify symmetry, skewness, and outliers of the data distribution, including anomalies. The udplot() is exceptional in assessing normality, outperforming normal QQ-plot, normal PP-plot, and their derivations. See Wijesuriya (2025) for the theory and the vignette to get started.

Example of an adplot

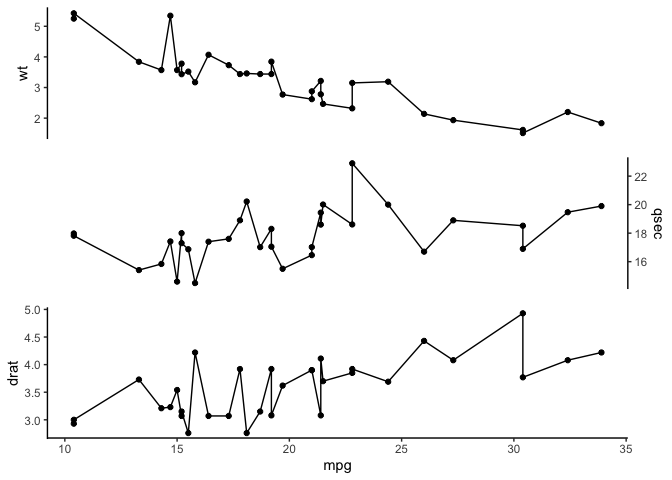
ggstackplot v0.4.1: Provides functions to easily create overlapping grammar of graphics plots for scientific data visualization, a style of plotting common in climatology and oceanography research. See the vignette.

Example of a stack plot

Heatmap with group and category labels

hhmR v0.0.1: Provides functions to create high-quality heatmaps from labelled, hierarchical data that allows labeling of the data at both the category and group level. For data with a two-level hierarchical structure, it will produce a heatmap where each row and column represents a category at the lower level. See the vignette.

parttree v0.1.0: Provides functions to visualize the partitions of simple decision trees, involving one or two predictors, on the scale of the original data that offers an intuitive alternative to traditional tree diagrams, by visualizing how a decision tree divides the predictor space in a simple 2D plot alongside the original data. See the Introduction to get started and the vignette Abstract art with parttree and friends for a creative method of producing abstract art.

rosalba